理清挠度与钢筋等级之间的关系,有助于设计时钢筋等级的优选,优先选择经济合理的钢筋等级,以达到优化工程设计,节约工程造价的目的。
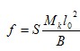
受弯构件的挠度f计算公式:

上式中:
S:与荷载形式、支承条件有关的挠度系数,例如承受均布荷载的简支梁,S=5/48;───与钢筋等级无关
Mk:弯矩的标准组合值───与钢筋等级无关
:构件的计算跨度───与钢筋等级无关
B:构件长期刚度───与钢筋等级有关
在荷载长期作用下,构件截面弯曲刚度将会降低,致使构件的挠度增大。在实际工程中,总是有部分荷载长期作用在构件上,因此计算挠度时必须采用按荷载效应的标准组合并考虑荷载效应的长期作用影响的刚度B。
受弯构件挠度验算时采用的截面弯曲刚度B,是在它的短期刚度Bs的基础上,用弯矩的准永久组合值Mq对挠度增大的影响系数来考虑荷载长期作用部分的影响。
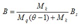
构件长期刚度的计算公式为:
上式中:
Mk:弯矩的标准组合值───与钢筋等级无关
Mq:弯矩的准永久组合值───与钢筋等级无关
:考虑荷载长期作用对挠度增大的影响系数───与钢筋等级无关
Bs:构件短期刚度───与钢筋等级有关
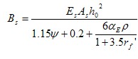
构件短期刚度计算公式为:

上式中:
As:纵向受拉钢筋截面面积───与钢筋等级无关
h0: 截面有效高度───与钢筋等级无关
:裂缝间纵向受拉钢筋的应变不均匀系数───与钢筋等级无关
按以下公式计算:
上式中:
:混凝土轴心抗拉强度标准值───与钢筋等级无关
:按有效受拉混凝土截面面积计算的纵向受拉钢筋的配筋率。(
=As/Ate ,Ate:有效受拉混凝土截面面积;当
<0.01时,取 0.01;)
───与钢筋等级无关
:裂缝截面处的纵向受拉钢筋的应力───与钢筋等级无关
分为以下几种情况:
1、受弯构件:
上式中:
h0:截面有效高度。
Mk:弯矩的标准组合值。
As:受拉钢筋总截面面积。
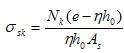
2、轴心受拉构件:
上式中:
Nk:按内力的标准组合值计算的轴向拉应力值。
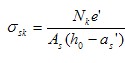
3、偏心受拉构件:
上式中:
e’:轴向拉力作用点至受压或受拉较小边纵向钢筋合力点的距离。
:上部纵向钢筋合力点到截面受压边缘的距离。
4、偏心受压构件:
上式中:
e:Nk至受拉钢筋As合力 点的距离。
:纵向受拉钢筋合力点至受压区合力点的距离。
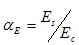
:
(Es:钢筋弹性模量,Ec混凝土弹性模量;)───与钢筋等级有关
:纵向受拉钢筋配筋率───与钢筋等级无关
:受压翼缘截面面积与腹板有效截面面积的比值───与钢筋等级无关
Es:钢筋弹性模量;───与钢筋等级有关(见下表1;)
钢筋弹性模量Es(N/mm2) 表1
|
种类
|
Es
|
|
HPB235级钢筋
|
2.1x105 |
|
HRB335级钢筋、HRB级钢筋、RRB级钢筋、热处理钢筋
|
2.0x105 |
|
消除应力钢丝
|
2.05x105 |
|
钢绞线
|
1.95x105 |
注:必要时钢绞线可采用实测的弹性模量。
二、小结:
1、同等直径、同等截面面积的情况下,一级钢比其他类型钢筋挠度要小;
2、除一级钢外,其他类型的钢筋在直径相同,截面面积相同的情况下,对结构挠度的影响无区别;
3、在抗挠度起控制作用时(非强度起控制作用),优先选用二级钢及一级钢,可节省造价;
4、三级钢比二级钢贵约6%,考虑到三级钢比二级钢钢筋锚固长度长,故在抗挠度起控制作用时,采用二级钢比采用三级钢可节约8%-10%;