受弯构件主要是指各种类型的梁和板,它们是土木工程中用得最普遍的构件,了解受弯构件的强度计算对结构设计有极其重要的作用,理清受弯构件强度计算与钢筋等级之间的关系,有助于设计时钢筋等级的优选,优先选择经济合理的钢筋等级,以达到优化工程设计,节约工程造价的目的。
1、单筋矩形截面受弯构件正截面受弯承载力的计算;
基本计算公式:

受弯构件的正截面受弯承载力设计值:

2、双筋矩形截面受弯构件的正截面受弯承载力计算;
基本计算公式:

上式中:
:等效矩形应力图系数,是受压区混凝土矩形应力值与混凝土轴心抗压设计值的比值───与钢筋等级无关
:混凝土轴心抗压设计值───与钢筋等级无关
b: 受弯构件的截面宽度───与钢筋等级无关
x: 受压区高度───与钢筋等级无关
As: 受拉钢筋截面面积───与钢筋等级无关
h0: 截面有效高度───与钢筋等级无关
:钢筋抗拉强度设计值(见下表1)───与钢筋等级有关
普通钢筋强度设计值(N/mm2) 表1
|
种 类
|
符号
|
fy
|
fy’
|
|
热轧钢筋
|
HPB235(Q235)
|
Φ
|
210
|
210
|
|
HRB335(20MnSi)
|
|
300
|
300
|
|
HRB400(20MnSiV、20MnSiNb、20MnTi)
|
|
360
|
360
|
|
RRB400(20MnSi)
|
R
|
360
|
360
|
注:1、在钢筋混凝土结构中,轴心受拉和小偏心受拉的钢筋抗拉强度设计值大于300N/mm2时,仍应按300N/mm2取用;
2、构件中配有不同种类的钢筋时,每种钢筋采用各自的强度设计值。
2、双筋矩形截面受弯构件的正截面受弯承载力计算;
基本计算公式:
由受拉钢筋合力点取矩平衡条件,可得
当
时,正截面受弯承载力按下式计算:

上式中:
:等效矩形应力图系数,是受压区混凝土矩形应力值与混凝土轴心抗压设计值的比值───与钢筋等级无关
:混凝土轴心抗压设计值───与钢筋等级无关
b: 受弯构件的截面宽度───与钢筋等级无关
x: 受压区高度───与钢筋等级无关
As′:受压钢筋截面面积───与钢筋等级无关
As: 受拉钢筋截面面积───与钢筋等级无关
: 纵向受压钢筋合力点到截面受拉边缘的距离───与钢筋等级无关
:钢筋抗压强度设计值(见上表1)───与钢筋等级有关
:钢筋抗拉强度设计值(见上表1)───与钢筋等级有关
3、T形截面受弯构件正截面受弯承载力计算;
第一类型 中和轴在翼缘内,即
这种类型与梁宽为
的矩形梁完全相同。这是因为受压区面积仍为矩形,而受拉区形状与承载力计算无关。故计算公式为:
上式中:
:等效矩形应力图系数,是受压区混凝土矩形应力值与混凝土轴心抗压设计值的比值───与钢筋等级无关
:混凝土轴心抗压设计值───与钢筋等级无关
: 受弯构件的截面宽度───与钢筋等级无关
x: 受压区高度───与钢筋等级无关
As: 受拉钢筋截面面积───与钢筋等级无关
h0: 截面有效高度───与钢筋等级无关
:钢筋抗拉强度设计值(见上表1)───与钢筋等级有关
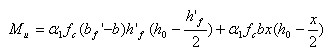
第二种类型 中和轴在梁肋内,即
;
由力的平衡,可得:
由力矩平衡条件,可得:
上式中:
:等效矩形应力图系数,是受压区混凝土矩形应力值与混凝土轴心抗压设计值的比值───与钢筋等级无关
:混凝土轴心抗压设计值───与钢筋等级无关
: 受弯构件的截面宽度───与钢筋等级无关
b : 受弯构件的截面宽度───与钢筋等级无关
:截面翼缘厚度───与钢筋等级无关
x: 受压区高度───与钢筋等级无关
As: 受拉钢筋截面面积───与钢筋等级无关
h0: 截面有效高度───与钢筋等级无关
:钢筋抗拉强度设计值(见上表1)───与钢筋等级有关
二、小结:
结合以上对受弯构件三种情况的分析,受弯构件承载力与钢筋等级的关系如下:
同等直径、同等截面面积的情况下,钢筋等级越高其受弯构件的强度(受弯承载力)越大。
参考文献:
1、 《混凝土结构设计规范》(GB50010-2002);
2、 《混凝土结构设计原理》(中国建筑工业出版社;同济大学 颜德 主编;);